搜索
网站首页
18luck登录入口
协会简介
协会章程
组织架构
协会大事记
新闻资讯
本地资讯
行业资讯
新利官网地址
新利官网地址
新利官网app
新利官网app
常务副会长单位
新利官网app
新利Lucky
常务理事单位
理事单位
会员单位
我要入会
新利Lucky
考试培训
18luck新利苹果
18luck新利苹果
规范性文件
资质评定
luck官网下载安卓
通知公告
您现在的位置:
首页
-
通知公告
通知公告
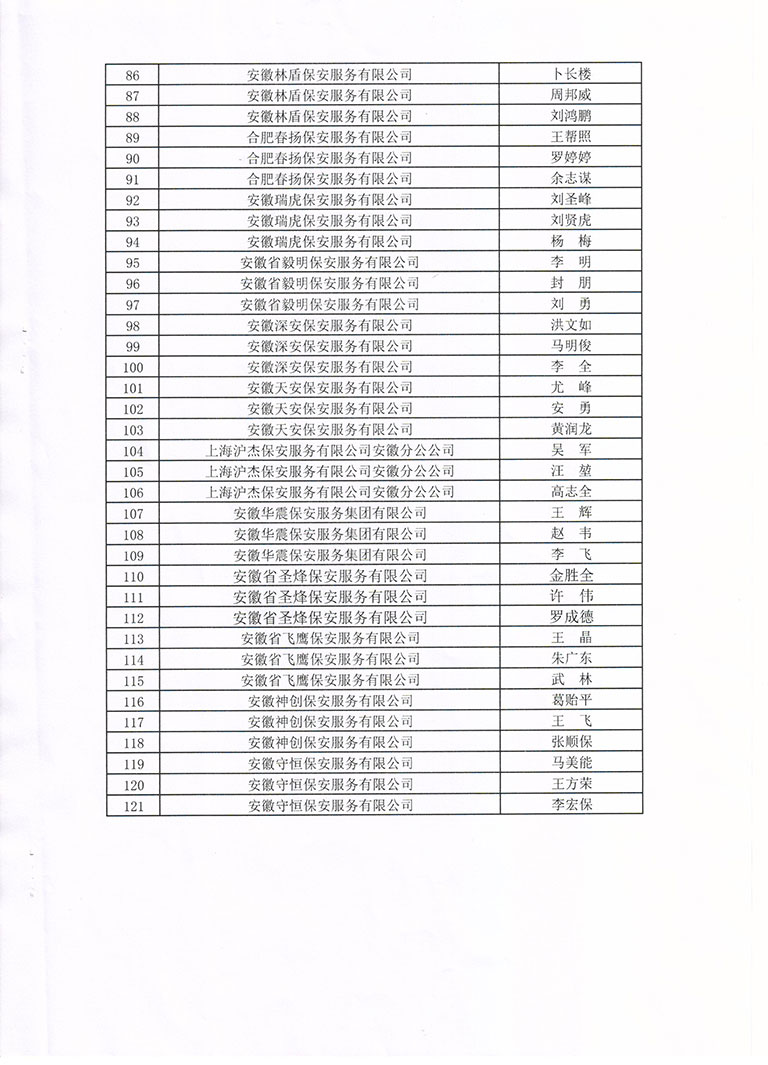
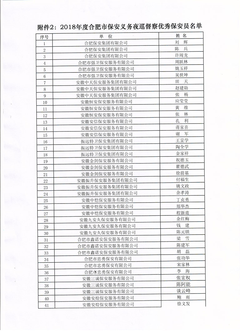
关于对2018年度合肥市保安义务夜巡督察先进单位和优秀个人表彰的决定
发布时间:2019-07-11
阅读次数: 次
分享到:
上一篇:
关于动员合肥市保安协会会员单位成立工会组织的通知
下一篇:
中标保险公司介绍(4)
map